На Прикарпатті чи не найбільш збиткові підприємства
28 Червня 2024, 10:06
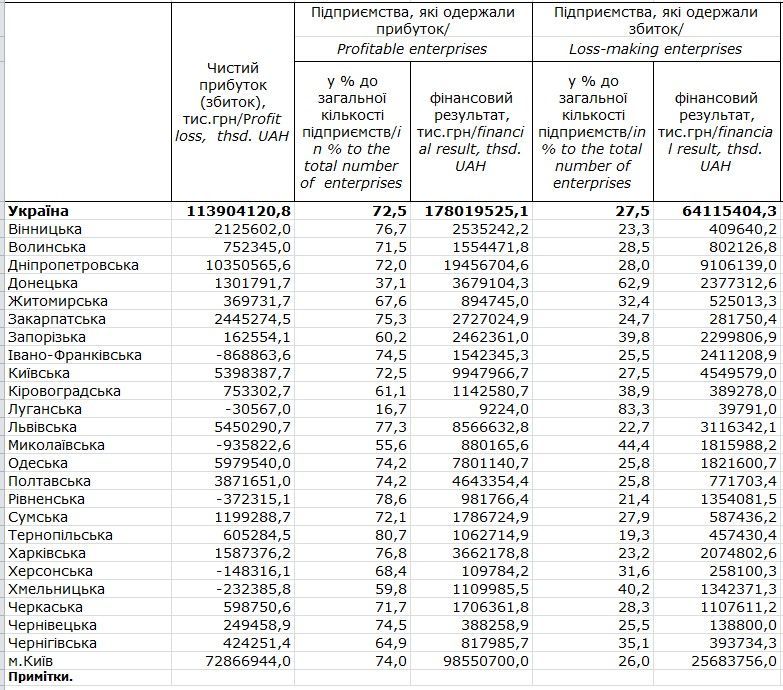
За показниками фінансових результатів великого і середнього бізнесу, підприємства в Івано-Франківській області одні із найзбитковіших в Україні.
В регіоні показник чистого збитку складає 868,8 млн грн. Більше лише у прифронтовій Миколаївській області. Такі дані наводить держстат за січень-березень 2024.
А от найбільш прибуткові підприємства України працюють у Київській (9,9 млрд грн), Львівській (8,5 млрд грн) та Одеській (7,8 млрд грн) областях.

Читайте нас у Facebook, Telegram та Instagram.
Завжди цікаві новини!
